The equation of straight line will be calculated for following points:




Number of points n: 2
x
y

Due to check if data has been input correctly, please check if sum of all x and y is the same as displayed, especially decimal places:



Control sum of all x = 0
Control sum of all y = 0



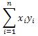
Then some parameters listed in table below should be calculated :



x
y
xy00
x2 00
x2 00


Then, to find out coefficients of the straight line we need:



suma x-ów = 0
suma y-ów = 0
suma iloczynow xy = 0
suma x kwadrat = 0
suma y kwadrat = 0
kwadrat sumy x = 0
iloczyn sum x y = 0